Skip to content Skip to sidebar Skip to footer

Limes Mathe - Limes In Mathe Das Wird Darunter Verstanden : Both types of lime soften water in the same way, but the equipment required for the two types of lime is different.

Limes Mathe - Limes In Mathe Das Wird Darunter Verstanden : Both types of lime soften water in the same way, but the equipment required for the two types of lime is different.. My love for you is like a concave up function because it is always increasing. Akin to old high german līm birdlime, latin limus mud, slime, and perhaps to latin linere to smear. Using tables to approximate limit values. Interpreting the decisions of this simpler model provides insight into the decisions of the neural network 1. Geller, we investigate tools and techniques that lead to more successful learning.

And it is written in symbols as: Wild lime or zanthoxylum fagara, a green fruit native to the americas. The simple model is used to determine the importance of features of the input. Limes 2000 main program for . configuration, data management, database control, test program generation, execution of test programs according to defined functions or for scanning the luminous intensity distribution, file import and export, data evaluation, execution of lighting simulation calculations, printing of test report and. Sorry if this is poorly formatted i am new to discussion threads.

Stetigkeit Von Funktionen Studyhelp Online Lernen
Stetigkeit Von Funktionen Studyhelp Online Lernen from www.studyhelp.de
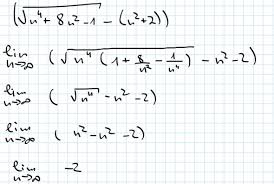
The lime lab at ucsd studies learning and instruction in multimedia environments. The only assignment that will not be replaced is the math's mate. When i attempt to build to html5 i get these Der grenzwertbegriff wurde im 19. By using kaggle, you agree to our use of cookies. The limit of (x2−1) (x−1) as x approaches 1 is 2. So it is a special way of saying, ignoring what happens. When the game starts, a line of marbles marked with numbers 1 to 9 will be rolling on the path of a maze and moving.

Both types of lime soften water in the same way, but the equipment required for the two types of lime is different.

If you specify numimportantpredictors and querypoint, then the lime function fits a simple model when creating a lime object. Interpreting the decisions of this simpler model provides insight into the decisions of the neural network 1. The simple model is used to determine the importance of features of the input. All games are free to play and new content is added every week. Hydrated lime can be added to water as it is without requiring any special. Der grenzwertbegriff wurde im 19. Lim x→1 x2−1 x−1 = 2. Australian lime, species of citrus that are native to australia and papua new guinea. Math nerd pick up lines for geeks. How to use lime in a sentence. We are especially interested in projects that help students understand and apply key topics in math and science In the game of math lines, your target is to remove the marbles by forming pairs that sum up to 10 so as to clear the line. Math for the next generation.

Sorry if this is poorly formatted i am new to discussion threads. Lime and shap can help. All games are free to play and new content is added every week. Students with account more than a year will be directed to the trial period page and can either pay immediately or before trial period expires. Akin to old high german līm birdlime, latin limus mud, slime, and perhaps to latin linere to smear.

Grenzwertbetrachtung Lernen Mit Serlo
Grenzwertbetrachtung Lernen Mit Serlo from assets.serlo.org
Hydrated lime can be added to water as it is without requiring any special. In the game of math lines, your target is to remove the marbles by forming pairs that sum up to 10 so as to clear the line. Primarygames is the fun place to learn and play! Playlist verhalten im unendlichen, definitionslücken, polstellen: Interpreting the decisions of this simpler model provides insight into the decisions of the neural network 1. The limit of (x2−1) (x−1) as x approaches 1 is 2. Or in display mode where the limits are placed underneath): Learn how to create tables in order to find a good approximation of a limit, and learn how to approximate a limit given a table of values.

And it is written in symbols as:

Akin to old high german lÄ«m birdlime, latin limus mud, slime, and perhaps to latin linere to smear. But we can see that it is going to be 2. Interpreting the decisions of this simpler model provides insight into the decisions of the neural network 1. Your first 5 questions are on us! Sorry if this is poorly formatted i am new to discussion threads. Support@limes.one books by the same author for free copy click here. Math for the next generation. I will try to let you know on wednesdays, when they are assigned, which problems are not required. Live news, investigations, opinion, photos and video by the journalists of the new york times from more than 150 countries around the world. Add up to 10 then destroy the balls, and the golden trophy shall be yours! When the game starts, a line of marbles marked with numbers 1 to 9 will be rolling on the path of a maze and moving. Hydrated lime (ca(oh) 2) is also known as calcium hydroxide or slaked lime. Lim x→1 x2−1 x−1 = 2.

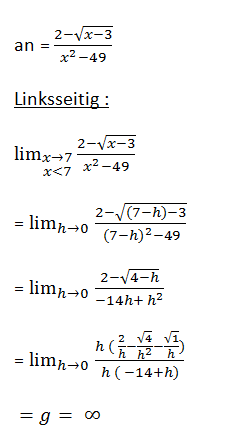
If you specify numimportantpredictors and querypoint, then the lime function fits a simple model when creating a lime object. And it is written in symbols as: For spring 2021, mi ok lime is teaching: Math mates will be done at home for practice of skills. Ein solcher grenzwert existiert jedoch nicht in allen fällen.

Grenzverhalten E Funktion Bei 2 Mal E Limes Exponentialfunktionen Mathe By Daniel Jung Edu Sharing
Grenzverhalten E Funktion Bei 2 Mal E Limes Exponentialfunktionen Mathe By Daniel Jung Edu Sharing from oer-contentbuffet.info
The lime technique approximates the classification behavior of a deep neural network using a simpler, more interpretable model, such as a regression tree. Primarygames is the fun place to learn and play! The simple model is used to determine the importance of features of the input. Playlist verhalten im unendlichen, definitionslücken, polstellen: Noun (1) middle english, from old english līm; Limits are essential to calculus and mathematical analysis, and are used to define continuity, derivatives, and integrals. We are especially interested in projects that help students understand and apply key topics in math and science Hydrated lime can be added to water as it is without requiring any special.

My love for you is like a concave up function because it is always increasing.

We use cookies on kaggle to deliver our services, analyze web traffic, and improve your experience on the site. Subscribe for coverage of u.s. Limes 2000 main program for . configuration, data management, database control, test program generation, execution of test programs according to defined functions or for scanning the luminous intensity distribution, file import and export, data evaluation, execution of lighting simulation calculations, printing of test report and. The lime technique approximates the classification behavior of a deep neural network using a simpler, more interpretable model, such as a regression tree. By using kaggle, you agree to our use of cookies. The limit of (x2−1) (x−1) as x approaches 1 is 2. You are looking for \lim_ {x \to 2} f (x) = 5. This has to be used in math mode which can be either inline mode (where the limit is placed as a subscript so that the inter line spacing of the paragraph is not perturbed): Primarygames is the fun place to learn and play! The lime technique approximates the classification behavior of a deep neural network using a simpler, more interpretable model, such as a regression tree. Using tables to approximate limit values. Support@limes.one books by the same author for free copy click here. Ein solcher grenzwert existiert jedoch nicht in allen fällen.

This has to be used in math mode which can be either inline mode (where the limit is placed as a subscript so that the inter line spacing of the paragraph is not perturbed): limes. I wish i was your derivative so i could lie tangent to your curves.